• Предмет: Математика
  • Автор: gulbaramm123
  • Вопрос задан 3 года назад

Амалдар бойынша жаз және есепте.
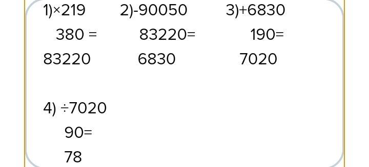
(90 050 - 219 380 + 190): 90
(302 281 - 12 649): 48 + 3 966
(21 000 - 308 29) : 4 + 14 147:47
Тапсырманы орында.​

Ответы

Ответ дал: sailauadiua
3

4 есептің 1) есепмен баған түрінде жаздым

Приложения:

madinabimenova: ато не правилна
sailauadiua: Дұрыс
Правилна
Вас заинтересует