• Предмет: Математика
  • Автор: Аноним
  • Вопрос задан 3 года назад

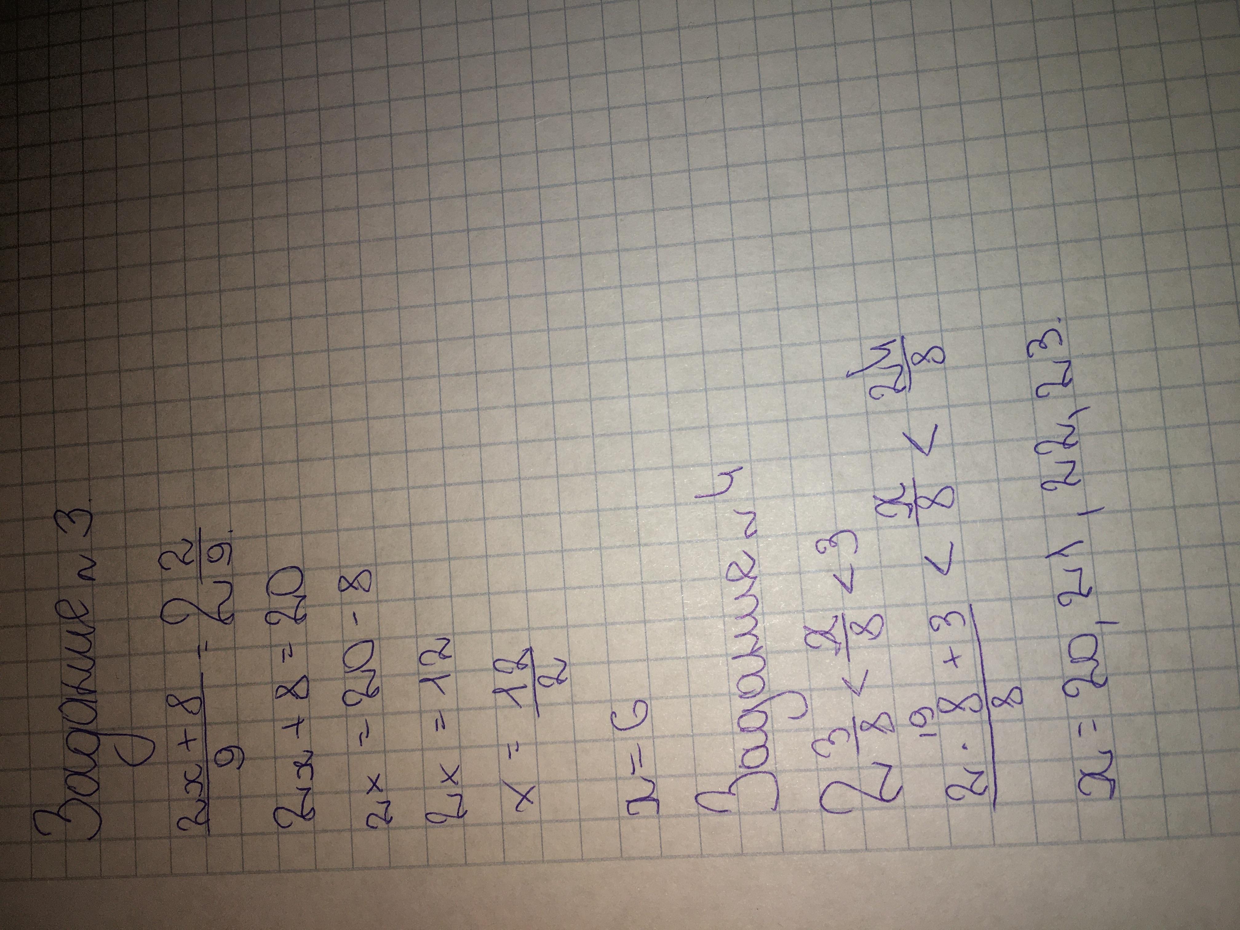
Задание 3 (25 баллов).

Решите уравнение:

23-3.png



Задание 4 (25 баллов).

Найдите все натуральные значения x, которые удовлетворяют неравенству:

23-4.png

Приложения:

Ответы

Ответ дал: crustaferr
3

надеюсь помогла с этими заданиями)

Приложения:
Вас заинтересует