• Предмет: Математика
  • Автор: Fox1111Live
  • Вопрос задан 3 года назад

Просто вычислить с подробным решением​

Приложения:

Ответы

Ответ дал: Miroslava227
1

Ответ:

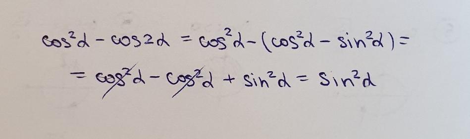
решение на фотографии.

Приложения:

6yTep6pog: Я хотел бы попросить вас о помощи!
6yTep6pog: В какое время вам удобнее всего помочь мне?
Вас заинтересует