• Предмет: Алгебра
  • Автор: kirillrubanov80
  • Вопрос задан 3 года назад

Я УЖЕ ПОТРАТИЛ 150 ИЛИ 200 БАЛЛОВ МОЖЕТЕ ПОМОЧЬ ПРОШУ ПОЖАЛУЙСТА.
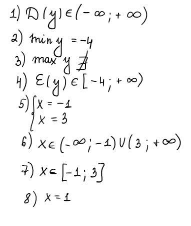
1)Область определения функции (ООФ).
2)Наименьшее значение функции.
3)Наибольшее значение функции.
4)Область значений функции (ОЗФ).
5)Значения х, при которых функция равна нулю.
6)Значение функции положительные на промежутке.
7)Значение функции. отрицательные на промежутке
8)Ось симметрии параболы.​​​​

Приложения:

Ответы

Ответ дал: roxanaar
1

Ответ:

Объяснение: Кажется, так

Приложения:

roxanaar: Максимального значения нет, т.к. ветви обращены вверх в бесконечность
Вас заинтересует