• Предмет: Алгебра
  • Автор: sasapozdyrka
  • Вопрос задан 3 года назад

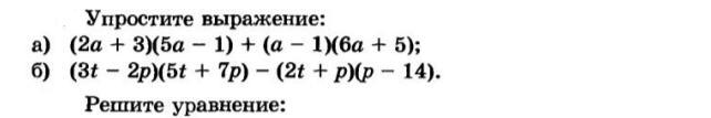
Решите плиз *б* полным ответ

Приложения:

Ответы

Ответ дал: anna171770
0

Ответ:

Объяснение:

(3t-2p)(5t+7p) - (2t +p)(p-14) = 15t² + 21pt - 10pt - 14p² - 2pt + 28t - p² + 14p = 15t² - 15p² + 9pt + 14p

Вас заинтересует