• Предмет: Информатика
  • Автор: chatblancintelligent
  • Вопрос задан 3 года назад

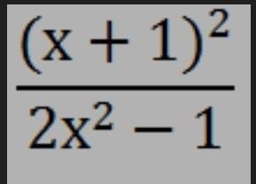
Напишите правильную запись выражения на языке Python (введите ваш ответ): *

2 балла


Приложения:

Ответы

Ответ дал: m5k1c
0

Ответ:

x = ...       # любое число

res = ((x + 1)**2) / (2*(x**2) - 1) # ответ


chatblancintelligent: спасибо берегите себя
Вас заинтересует