Линейное неравенство с одной переменной. Решение линейных неравенств с одной переменной. Урок 3
Реши неравенство.
Приложения:

Ответы
Ответ дал:
11
Ответ:
Пошаговое объяснение:
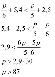
ответ на фото
Приложения:

Аноним:
ты шо дэбил
Ответ дал:
22
Ответ:
Пошаговое объяснение:
p ∈ (87; +∞)
Вас заинтересует
2 года назад
2 года назад
2 года назад
2 года назад
9 лет назад