• Предмет: Математика
  • Автор: olechkaolya1995
  • Вопрос задан 3 года назад

срочно пожалуйста помогите​

Приложения:

Ответы

Ответ дал: shapuvalov69
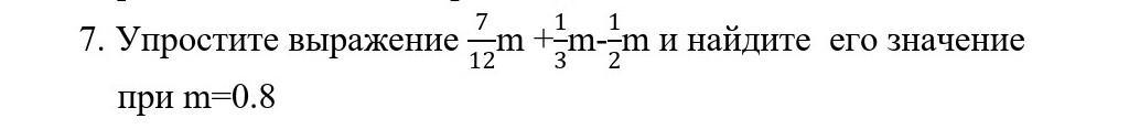
1

Ответ:

Пошаговое объяснение:

7/12x0. 8+1/3x0.8-1/2x0.8

7/12x4/5+1/3x4/5-1/5x4/5

7/3x1/5+4/15-2/5

7/15+4/15-2/5

=1/3 =0.3

Вас заинтересует