• Предмет: Математика
  • Автор: nikitachudin1008
  • Вопрос задан 3 года назад

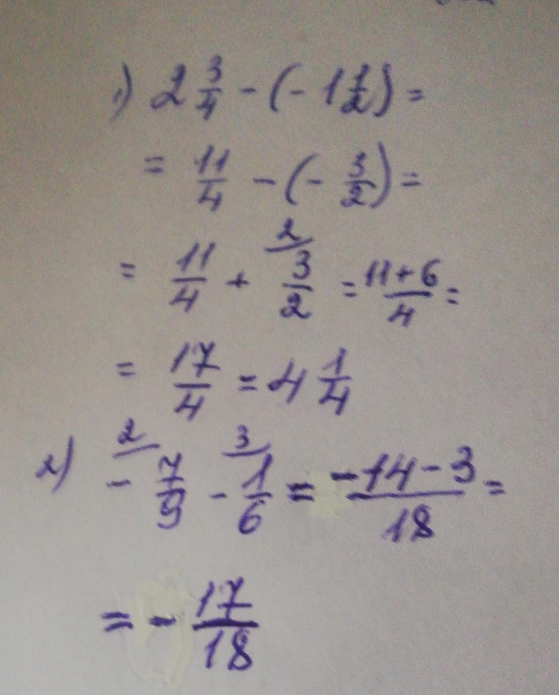
Решите примеры пожалуйста
2 3/4 - (-1 1/2)
-7/9 - 1/6
На кр сижу help

Ответы

Ответ дал: serovaksusa1
0

Ответ:

Смотри решение на фото

Приложения:

nikitachudin1008: Спс
Вас заинтересует