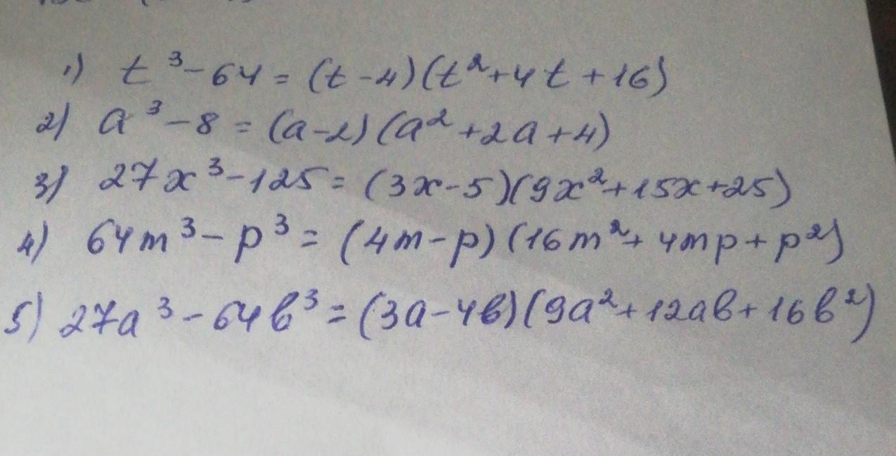
Представьте в виде произведения многочленов
t^3 - 64
a^3 - 8
27x^3 - 125
64m^3 – p^3
27a^3 – 64b^3
помогите пожалуйста все задания
Ответы
Ответ дал:
2
Ответ:
Смотри решение на фото
Приложения:

Вас заинтересует
2 года назад
2 года назад
2 года назад
8 лет назад
8 лет назад