• Предмет: Математика
  • Автор: inn29
  • Вопрос задан 3 года назад

помогите, пожалуйста, кому не сложно!! тему не понял совсем, а задания обязательно нужно выполнить:(​

Приложения:

Ответы

Ответ дал: parus77
0

Ответ:

Пошаговое объяснение:

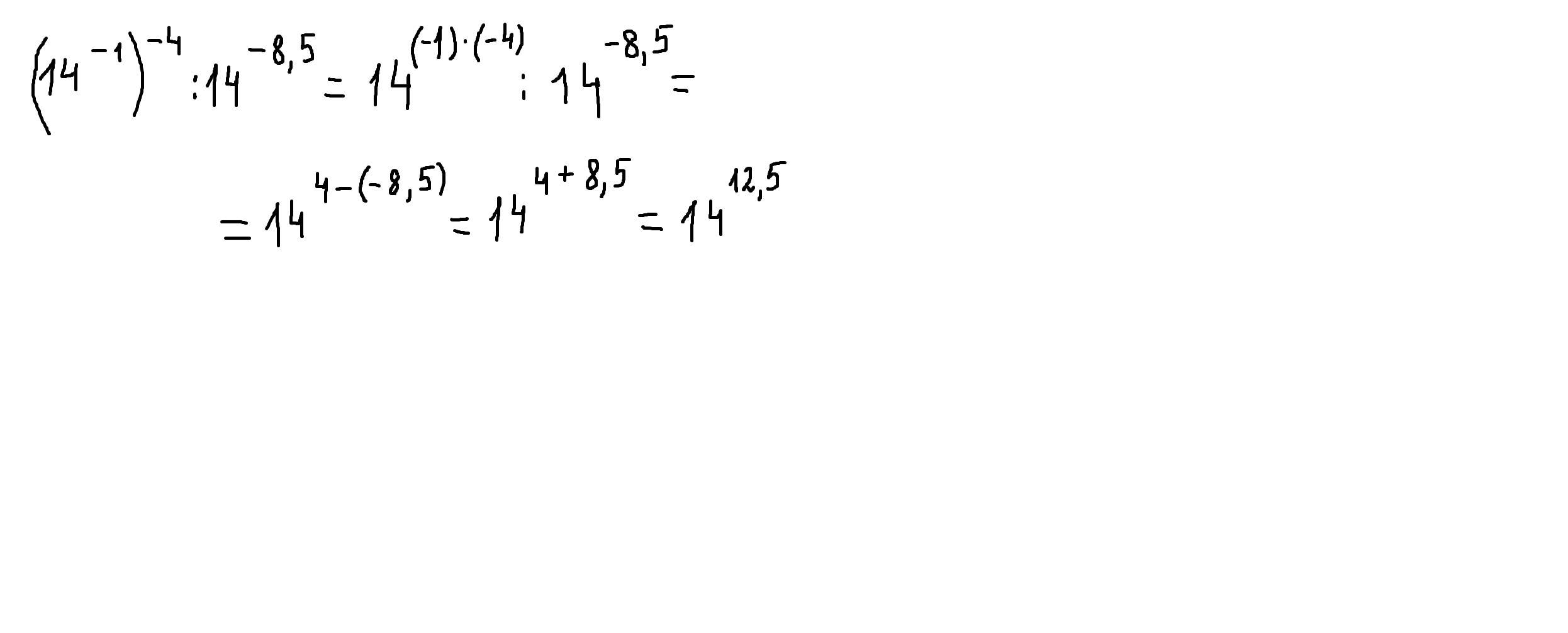
привозведении степени в степень показатели перемножаются,при делении степеней с одинаковым основанием показатели ВЫЧИТАЮТСЯ.

решение внизу

Приложения:
Вас заинтересует