• Предмет: Алгебра
  • Автор: Таполёнок
  • Вопрос задан 11 лет назад

Ребятушки.   С Новым Годом!!! Помогите пожалуйста с уравнениями!!! пожалуйста. надо их решить... естественно: 
1) КОРЕНЬ 4х-3=2х-3 
2) х+2КОРЕНЬх=8
3) МОДУЛЬ 2х+3=5
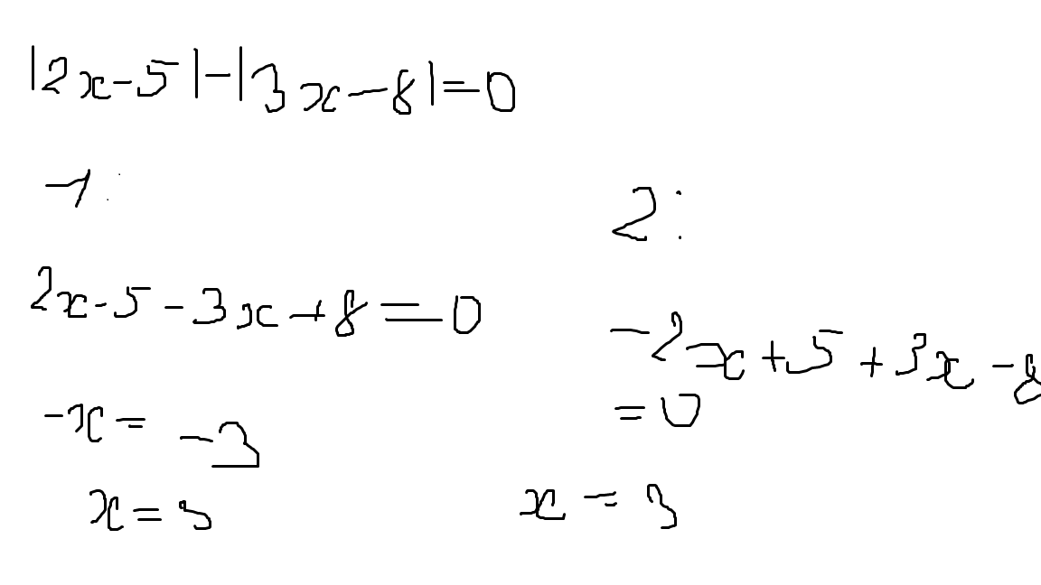
4) МОДУЛЬ 2х -5 - МОДУЛЬ 3х-8=0

Ответы

Ответ дал: Ekaterina1819
0
вообщем будет вот так 
Приложения:
Вас заинтересует