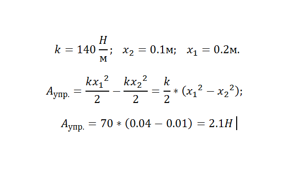
Пружину с жесткостью 140 Н/м сжали до длины 0,1 м и отпустили. Работа, совершенная силой упругости при восстановлении пружины равна ..... Дж. Если длина недеформированной пружины равна 0,2 м.
Ответы
Ответ дал:
0
деформация пружины x=0,2-0,1=0,1 м
A=k*x^2/2=140*0,1*0,1/2=0,7 Дж - ответ
Ответ дал:
0
Вот держи решение, удачи с задачами.
Приложения:

Вас заинтересует
2 года назад
2 года назад
10 лет назад
10 лет назад
10 лет назад