• Предмет: Алгебра
  • Автор: 5566788888hhn
  • Вопрос задан 3 года назад

алгебра срочно пожалуйста!((​

Приложения:

Ответы

Ответ дал: Аноним
0

Ответ:

Объяснение:

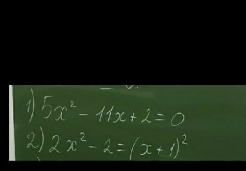
1) 5x²-11x+2=0; D=121-40=81

x₁=(11-9)/10=2/10=1/5=0,2

x₂=(11+9)/10=20/10=2

Ответ: 0,2 и 2.

2) 2x²-2=(x+1)²

2x²-2-x²-2x-1²=0

x²-2x-3=0; D=4+12=16

x₁=(2-4)/2=-2/2=-1

x₂=(2+4)/2=6/2=3

Ответ: -1 и 3.

Вас заинтересует