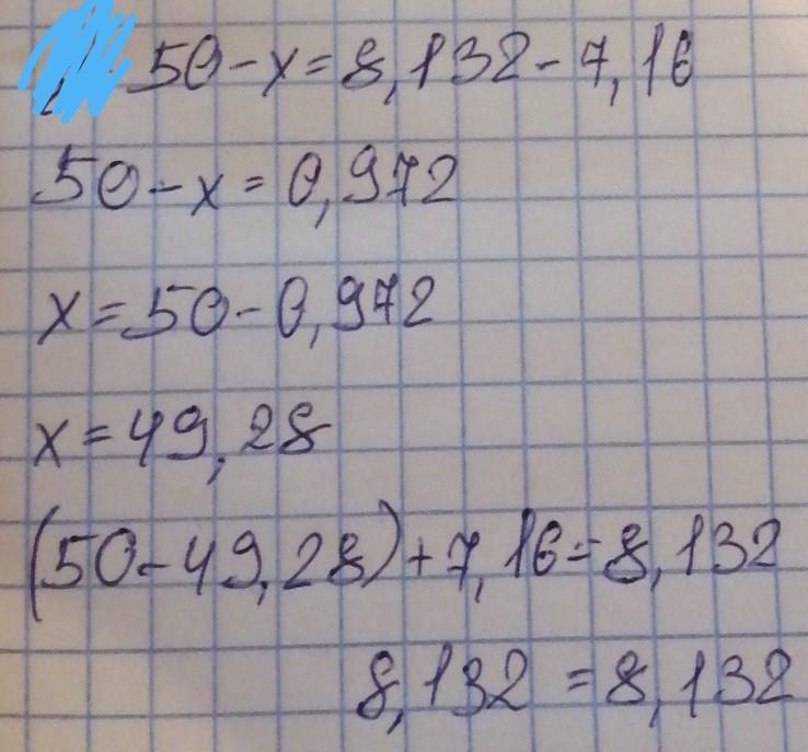
5) (50 - x) + 7,16 = 8,132; (тексеру қалай болады) (как проверить) (How to check)
danil33877:
что
Ответы
Ответ дал:
1
Ответ:
Скоро приложу фото с ответом на Ваш вопрос, ожидайте...
Приложения:

Вас заинтересует
2 года назад
2 года назад
8 лет назад
8 лет назад
9 лет назад