• Предмет: Математика
  • Автор: gorinameri
  • Вопрос задан 3 года назад

532
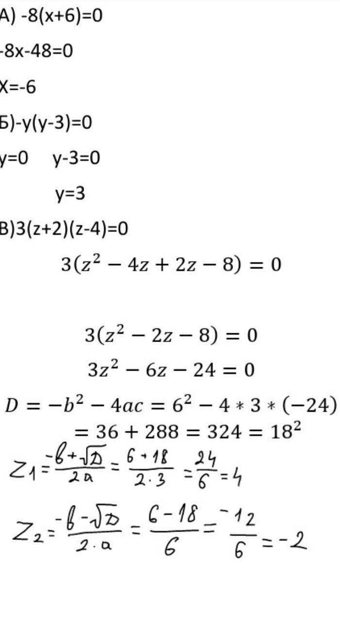
Розв'яжи рівняння:
а) -8(х+6) = 0;
б)-у(у – 3) = 0;
в) 3(z+2)(z– 4) = 0.
Помогите пожалуйста​

Ответы

Ответ дал: lalinaalina59
1

решила,но может быть не правильно ,так что проверь

Приложения:
Ответ дал: 1chocolate1000000
1

Відповідь:

Покрокове пояснення:

Приложения:
Вас заинтересует