Ответы
Ответ дал:
0
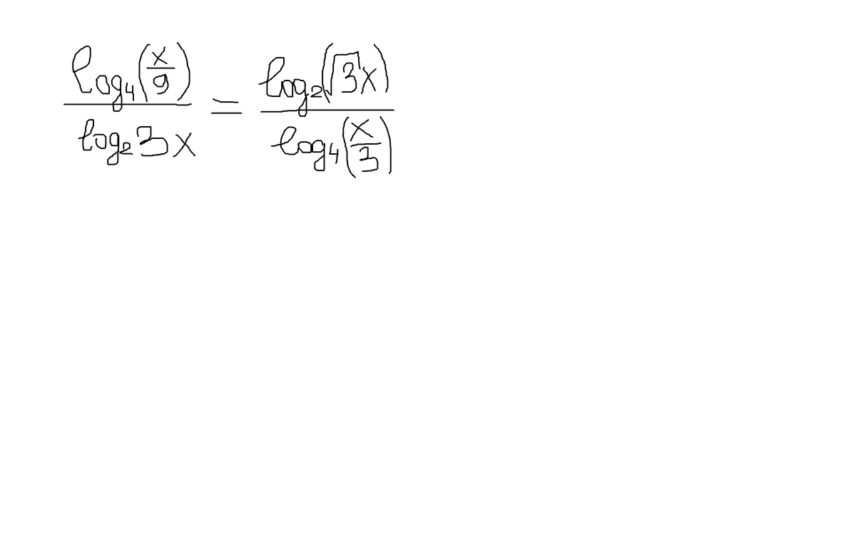
log4(x/9)/log2(3x) = log2(корень(3)x)/log4(x/3)
log2^2(x/9)/log2(3x) = log2(корень(3)x)/log2^2(x/3)
(1/2)*log2(x/9)/log2(3x) = log2(корень(3)x)/((1/2)*log2(x/3))
log2(x/9)/log2(3x) = 4*log2(корень(3)x)/log2(x/3)
Используем свойство логарифма log a(b) = log c(b)/log c(a)
log3x(x/9) = 4*log(x/3)(корень(3)x)
Повторно используем это же свойство
log3(x/9)/log3(3x) = 4*log3(корень(3)x)/log3(x/3)
(log3(x) - log3(9))/(log3(3) + log3(x)) = 4*(log3(корень(3)) + log3(x))/(log3(x) - log3(3)
(log3(x) - log3(3^2))/(1+ log3(x)) = 4(log3(3^(1/2)) + log3(x))/(log3(x) - 1)
(log3(x) - 2)/(1+ log3(x)) = 4(1/2 + log3(x))/(log3(x) - 1)
(log3(x) - 2)/(1+ log3(x)) = (2+ 4log3(x))/(log3(x) - 1)
Замена переменных y=log3(x)
(y - 2)/(y + 1) = (2 + 4y)/(y - 1)
(2 + 4y)/(y - 1) - (y - 2)/(y + 1) = 0
[(2 + 4y)(y + 1) - (y - 2)(y - 1)]/[(y - 1)(y + 1)] = 0
(4y^2 + 6y + 2 - y^2 + 3y - 2)/(y^2 - 1) = 0
(3y^2 + 9y)/(y^2 - 1) = 0
(y^2 + 3y)/(y^2 - 1)=0
ОДЗ: y=/=1; y=/=-1
y(y + 3) = 0
y1 = 0; y2 = -3
Находим х
log3(x) = 0
х1 = 1
log3(x) = -3
х2 =1/27
log2^2(x/9)/log2(3x) = log2(корень(3)x)/log2^2(x/3)
(1/2)*log2(x/9)/log2(3x) = log2(корень(3)x)/((1/2)*log2(x/3))
log2(x/9)/log2(3x) = 4*log2(корень(3)x)/log2(x/3)
Используем свойство логарифма log a(b) = log c(b)/log c(a)
log3x(x/9) = 4*log(x/3)(корень(3)x)
Повторно используем это же свойство
log3(x/9)/log3(3x) = 4*log3(корень(3)x)/log3(x/3)
(log3(x) - log3(9))/(log3(3) + log3(x)) = 4*(log3(корень(3)) + log3(x))/(log3(x) - log3(3)
(log3(x) - log3(3^2))/(1+ log3(x)) = 4(log3(3^(1/2)) + log3(x))/(log3(x) - 1)
(log3(x) - 2)/(1+ log3(x)) = 4(1/2 + log3(x))/(log3(x) - 1)
(log3(x) - 2)/(1+ log3(x)) = (2+ 4log3(x))/(log3(x) - 1)
Замена переменных y=log3(x)
(y - 2)/(y + 1) = (2 + 4y)/(y - 1)
(2 + 4y)/(y - 1) - (y - 2)/(y + 1) = 0
[(2 + 4y)(y + 1) - (y - 2)(y - 1)]/[(y - 1)(y + 1)] = 0
(4y^2 + 6y + 2 - y^2 + 3y - 2)/(y^2 - 1) = 0
(3y^2 + 9y)/(y^2 - 1) = 0
(y^2 + 3y)/(y^2 - 1)=0
ОДЗ: y=/=1; y=/=-1
y(y + 3) = 0
y1 = 0; y2 = -3
Находим х
log3(x) = 0
х1 = 1
log3(x) = -3
х2 =1/27
Вас заинтересует
3 года назад
3 года назад
8 лет назад
8 лет назад
11 лет назад
11 лет назад