• Предмет: Математика
  • Автор: superjulio
  • Вопрос задан 3 года назад

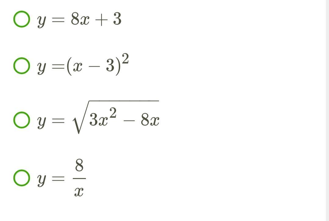
Какие из данных функций являются квадратичными?

Приложения:

Ответы

Ответ дал: vaseckodara4
2

правильный ответ второй

Ответ дал: prostom246
1

Ответ:

хз чел я не могу прости ((((((

Вас заинтересует