Помогите пожалуйста, задание прикрепил, баллов 30
Приложения:

ToRiWAy:
1)√5 - 1
Ответы
Ответ дал:
1
Ответ:
1) √5 - 1
2) 1,24
ответ вот :-):-):-)
Ответ дал:
1
Ответ:
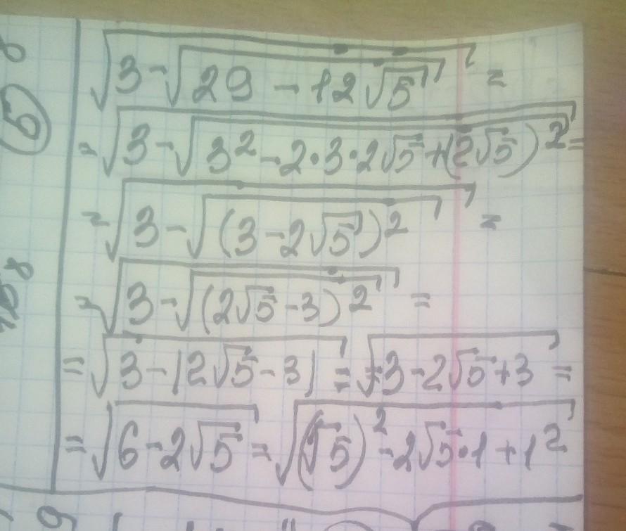
решение на фотографии
Приложения:


Вас заинтересует
2 года назад
2 года назад
2 года назад
2 года назад
8 лет назад
8 лет назад
9 лет назад