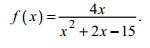
Найдите наибольшее число, не принадлежащее области определения функции, пожалуйста, СРОЧНО НАДО! ПОМОГИТЕ
Приложения:

Ответы
Ответ дал:
0
x∈(-бесконечность;-5)U(-5;3)U(3;+ бесконечность)
наибольшее число, не принадлежащее области определения функции=3
Вас заинтересует
2 года назад
2 года назад
8 лет назад
10 лет назад
10 лет назад
10 лет назад