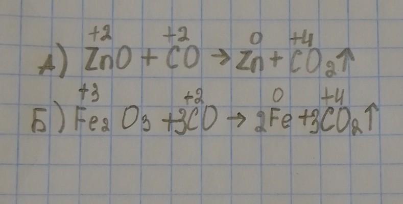
Напишите уравнения реакций восстановления оксидом углерода(II):
А) цинка из ZnO;
Б) железа из Fe2O3.
Ответы
Ответ дал:
24
Ответ:
на фотографии.
Объяснение:
на фотографии.
Приложения:
aminsalpagarov15:
Можешь помочь с другими вопросами по химии у нее на странице?
Опишите, в каких соединениях металлы существуют в природе. Что такое самородные металлы? Какие металлы встречаются в самородном состоянии, а какие – только в соединениях?
Вот это помоги пожалуйста
Я из интернет урока:
Большинство металлов в природе очень активны, поэтому встречаются только в виде соединений (руды). Но есть также благородные металлы. Они почти не вступают в реакции с другими веществами. Встречаются благородные металлы только в самородках или вкраплениях в минералы.
Большинство металлов в природе очень активны, поэтому встречаются только в виде соединений (руды). Но есть также благородные металлы. Они почти не вступают в реакции с другими веществами. Встречаются благородные металлы только в самородках или вкраплениях в минералы.
Спасибо но я это уже сделал
Вас заинтересует
2 года назад
8 лет назад
8 лет назад