• Предмет: Алгебра
  • Автор: RuslanRussia1881
  • Вопрос задан 3 года назад

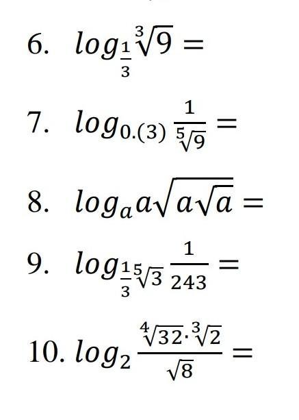
алгебра 5 примеров пожалуйста помогите ​

Приложения:

Ответы

Ответ дал: natalyabryukhova
1

Ответ:

=====================================

Объяснение:

Приложения:
Вас заинтересует