Ответы
Ответ дал:
0
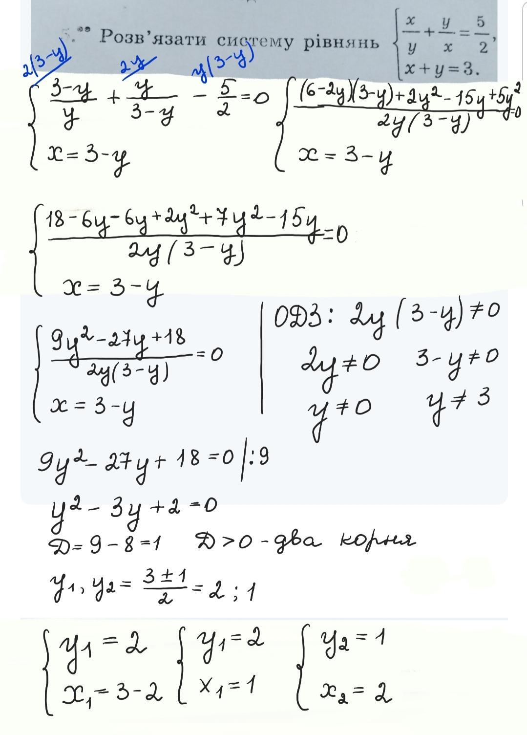
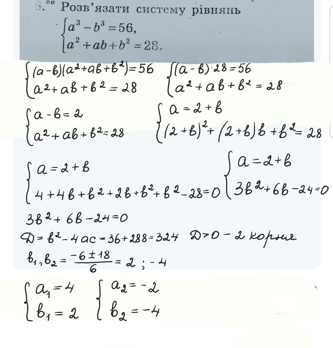
Ответ на прикреплённом файле
Приложения:


Вас заинтересует
2 года назад
2 года назад
8 лет назад
8 лет назад