• Предмет: Алгебра
  • Автор: sof9545
  • Вопрос задан 3 года назад

Номер 14.13 пж......

Приложения:

sof9545: Срочно❗

Ответы

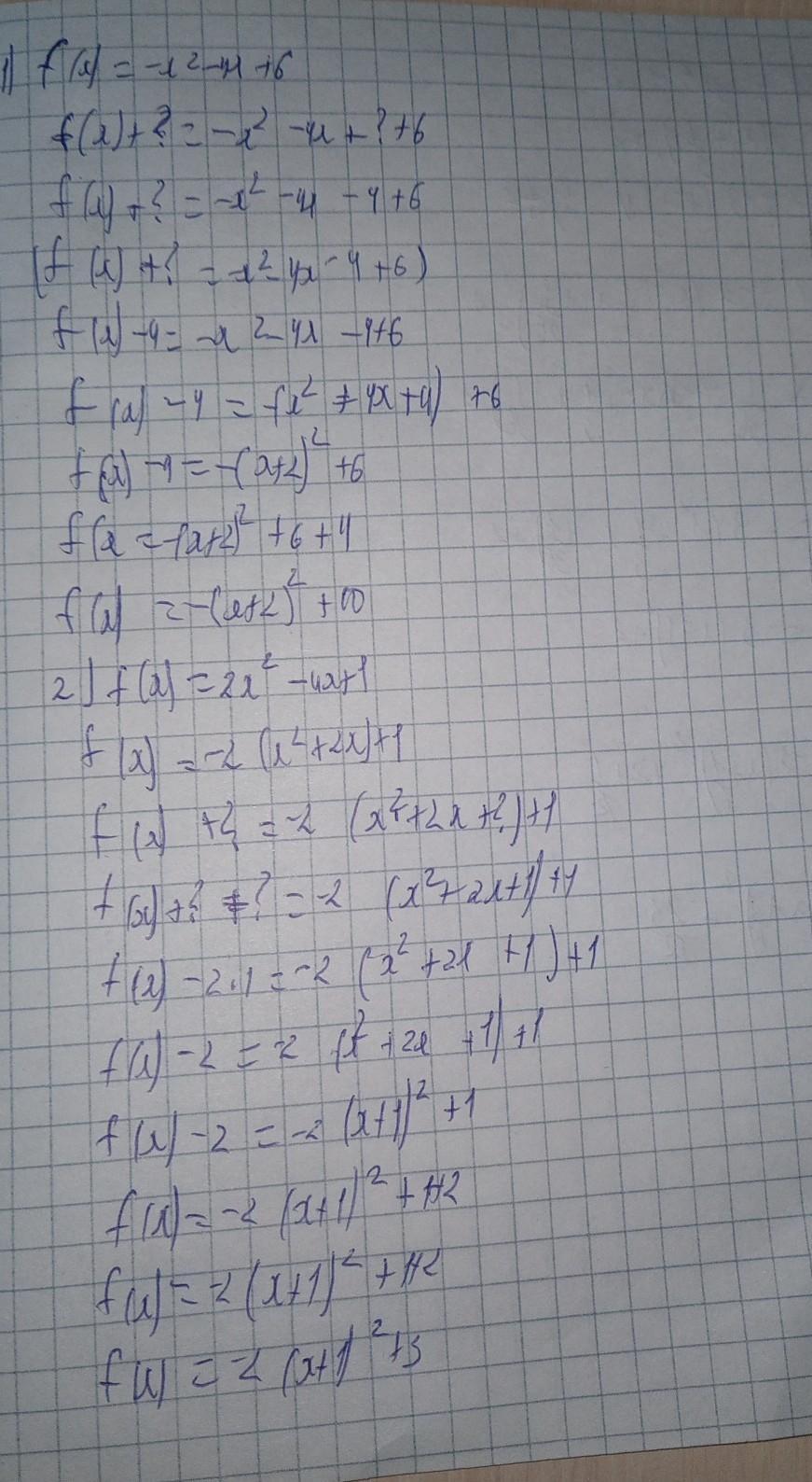
Ответ дал: olyakungurtzeva
7

на фото на фото на фото

Объяснение:

на фото

Приложения:
Вас заинтересует