• Предмет: Алгебра
  • Автор: mordvin121
  • Вопрос задан 3 года назад

Алгебра 7 класс срочно решите дам 50 балов хотя-бы 5

Приложения:

wieslawlozickip5w1nd: Z.8 49a^3 ili 49a^2 ?

Ответы

Ответ дал: ryslanten912
1

Ответ:

это методом разложения на множители, идти тебе нужно по теореме Виета ?

Приложения:

ryslanten912: или*
Ответ дал: wieslawlozickip5w1nd
0

Ответ:

Объяснение:

1.

(5+b²)(b²-5)=b^4-25

2.

(8a³b-1/3ab²)(8a³b+1/3ab²)=64a^6b²-1/9a²b^4

3.

(0,2m^8-0,8n^6)(a,2m^8+0,8n^6)=0,04m^16-0,64n^12

4.

(2/7p^7+4/11k^9)(4/11k^9-2/7p^7)=16/121k^18-4/49p^14

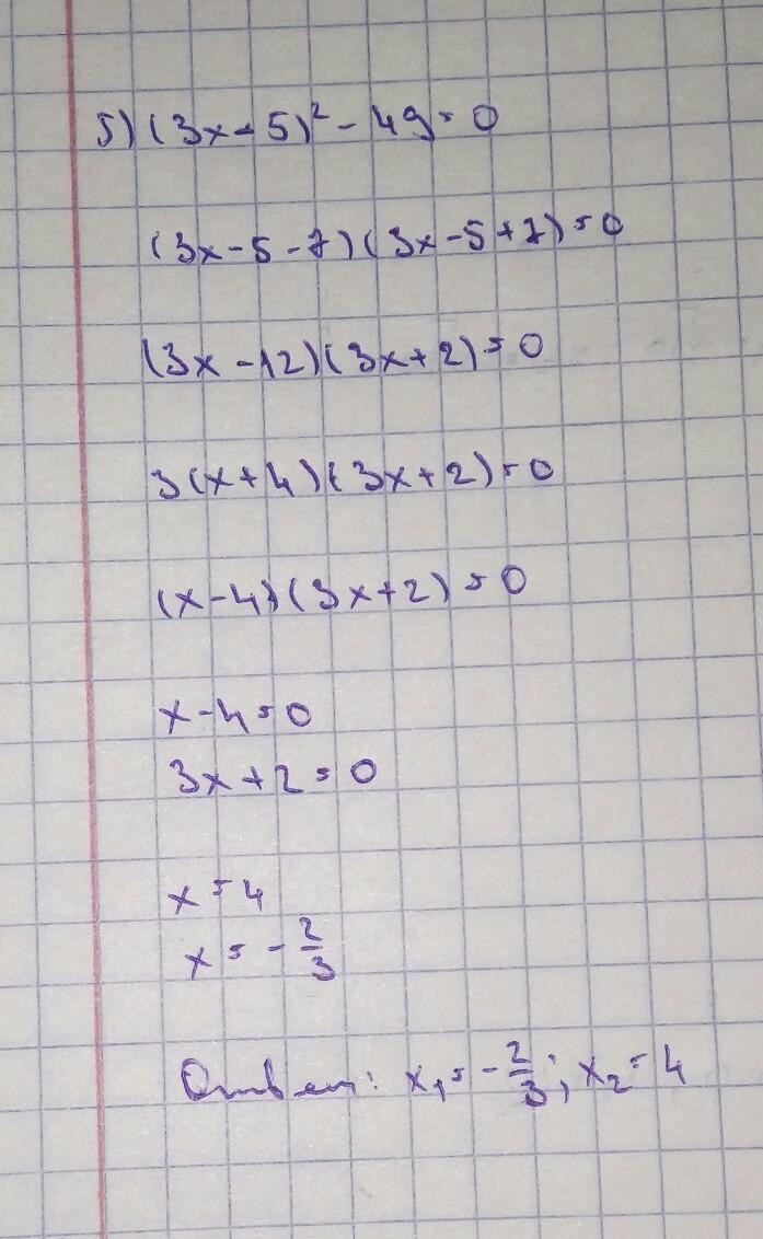
5.

(3x-5)^2-49=(3x-5)^2-7^2=(3x-5-7)(3x-5+7)=(3x-12)(3x+2)

6.

(a-1)²-(2a+9)²=(a-1-2a-9)(a-1+2a+9)=(-a-10)(3a+8)

7.

Y²-8y+16=(y-4)²

8. в задании 8 наверное ошибка

Вас заинтересует