• Предмет: Алгебра
  • Автор: ermetovanasiba9
  • Вопрос задан 3 года назад

пжжжжппппжжжжжжж

плиз помогите по алгебре ​

Приложения:

ermetovanasiba9: эй.. люди помогите пожалуйста
ermetovanasiba9: срочна
ermetovanasiba9: если ответ будет правилным сразу сделаю лучшем ответом

Ответы

Ответ дал: olyakungurtzeva
0

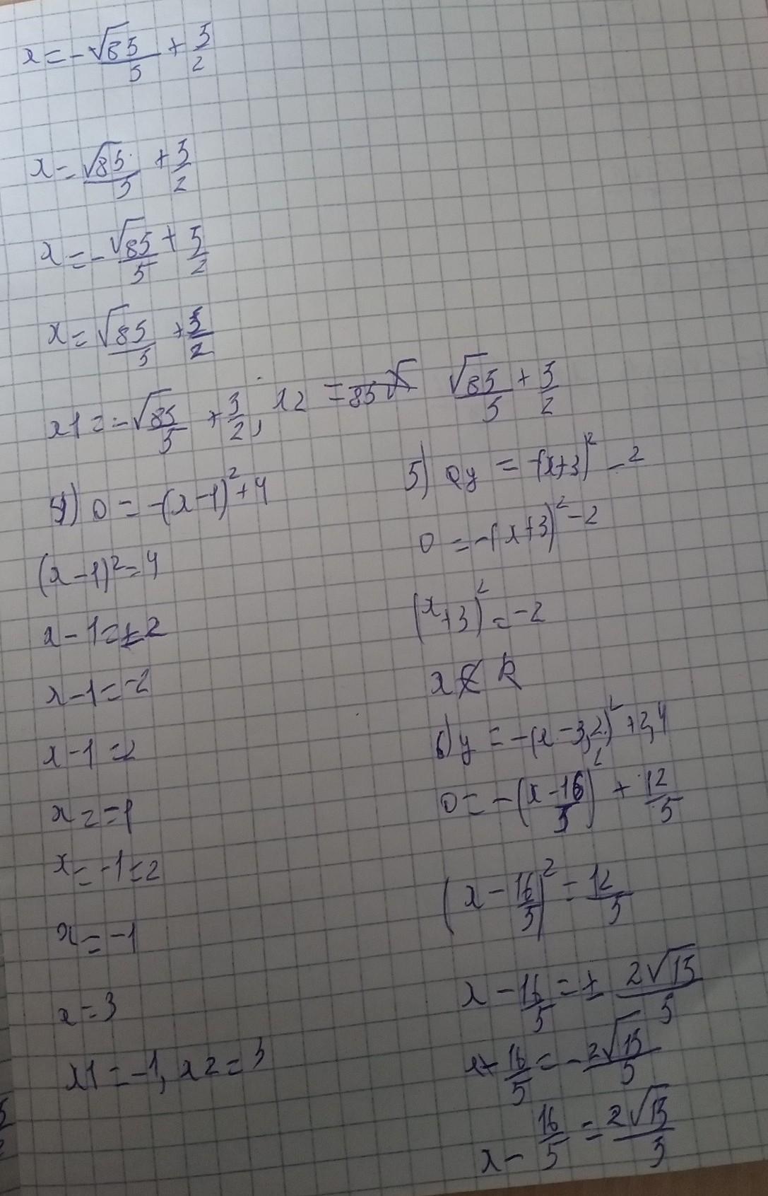
Ответ:

1) х1=-√3+4 х2=√3+4

2)х1=-5 х2=-3

3)х1=-√85/5+5/2 х2=√85/5+5/2

4)х1=-1 х2=3

5)нет перечесления с осью х/корней

6)х1=-2√15+16/5 х2=2√15+16/5

Приложения:

olyakungurtzeva: надеюсь помог
ermetovanasiba9: спасибо большое
olyakungurtzeva: незачто
Вас заинтересует