• Предмет: Математика
  • Автор: madinaalimbaeva220
  • Вопрос задан 3 года назад

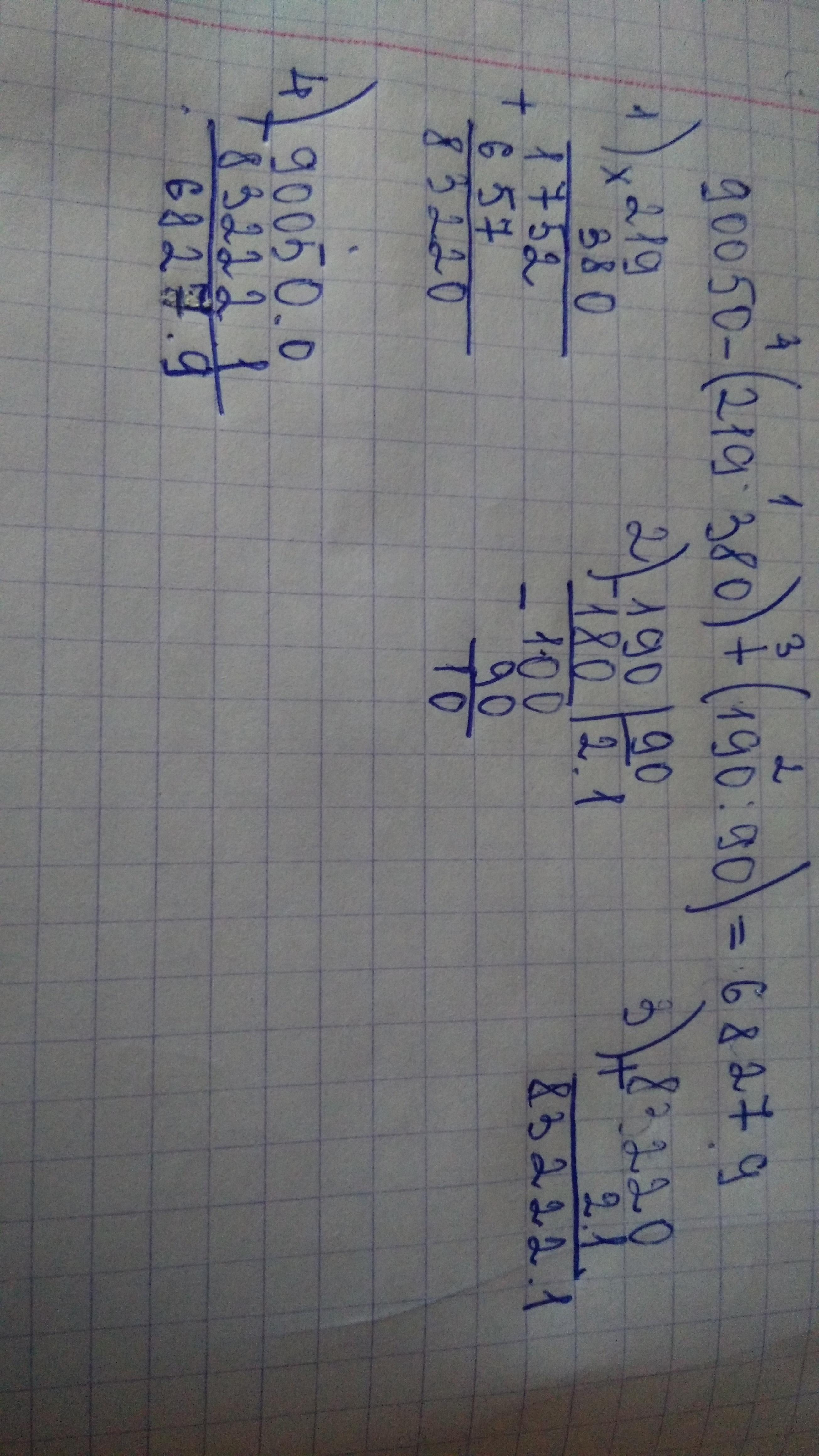
описывая по действиям скобка 90050 - 219 X 380 + 190 / 90 внизу столбиком​

Ответы

Ответ дал: Vadim1135
3

Сделай мой ответ лучшим ★★★★★

Ответ:

Ответ на фото:

Приложения:
Вас заинтересует