• Предмет: Математика
  • Автор: Аноним
  • Вопрос задан 3 года назад

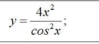
Найти производные следующих функций.полный ответ пж

Приложения:

niko151983: Ну если легкий в чем смысл его задавать?

Ответы

Ответ дал: almirgasimov1
1

Ответ:

Пошаговое объяснение:

Приложения:
Вас заинтересует