• Предмет: Алгебра
  • Автор: anime66063
  • Вопрос задан 3 года назад

помооооооооооооооооооооооооооооооогиииииииитеееееееееееееееееееееееееееееееее! Сроооооооооооочно!!! ​

Приложения:

Zombynella: Спасибо)

Ответы

Ответ дал: Zombynella
1

Ответ:

В решении.

Объяснение:

Памятка:

Как найти сумму и разность многочленов. Записать результат как многочлен стандартного вида.  

1) Записать многочлены в одну строку, второй многочлен в скобках, между ними знак + или -.  

2) Раскрыть скобки. Если между многочленами знак +, во втором многочлене знаки не меняются, если перед скобками знак -, меняются на противоположные.  

3) Привести подобные члены.  

4) Записать результат в стандартном виде, т.е., в порядке убывания степеней и в алфавитном порядке.  

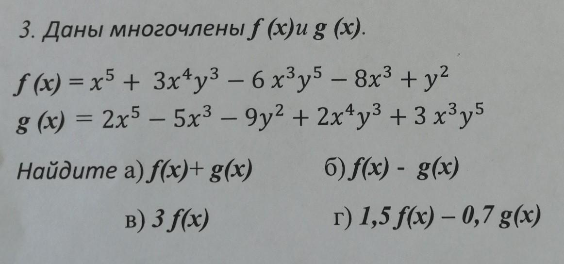
Даны многочлены:

f(x) = x⁵ + 3x⁴y³ - 6x³y⁵ - 8x³ + y²;

g(x) = 2x⁵ - 5x³ - 9y² + 2x⁴y³ + 3x³y⁵.

1) Сумма:

(x⁵ + 3x⁴y³ - 6x³y⁵ - 8x³ + y²) + (2x⁵ - 5x³ - 9y² + 2x⁴y³ + 3x³y⁵) =

=  x⁵ + 3x⁴y³ - 6x³y⁵ - 8x³ + y² + 2x⁵ - 5x³ - 9y² + 2x⁴y³ + 3x³y⁵ =

= 3х⁵ + 5х⁴у³ - 3х³у⁵ - 13х³ - 8у².

2) Разность:

(x⁵ + 3x⁴y³ - 6x³y⁵ - 8x³ + y²) - (2x⁵ - 5x³ - 9y² + 2x⁴y³ + 3x³y⁵) =

=x⁵ + 3x⁴y³ - 6x³y⁵ - 8x³ + y² - 2x⁵ + 5x³ + 9y² - 2x⁴y³ - 3x³y⁵ =

= -х⁵ + х⁴у³ - 9х³у⁵ - 3х³ + 10у².

3) 3f(x):

3*(x⁵ + 3x⁴y³ - 6x³y⁵ - 8x³ + y²) =

= 3х⁵ + 9х⁴у³ - 18x³y⁵ - 24x³ + 3y².

4) 1,5f(x) - 0,7g(x):

1,5 * (x⁵ + 3x⁴y³ - 6x³y⁵ - 8x³ + y²) - 0,7 * (2x⁵ - 5x³ - 9y² + 2x⁴y³ + 3x³y⁵) =

=(1,5x⁵+4,5x⁴y³ - 9x³y⁵ - 12x³+1,5y²) - (1,4x⁵ - 3,5x³ - 6,3y² +1,4x⁴y³ +2,1x³y⁵)=

= 1,5x⁵+4,5x⁴y³ - 9x³y⁵ - 12x³+1,5y² - 1,4x⁵ + 3,5x³ + 6,3y² - 1,4x⁴y³ - 2,1x³y⁵ =

= 0,1х⁵ + 3,1х⁴у³ - 11х³у⁵ - 8,5х³ + 7,8у².

Вас заинтересует