• Предмет: Алгебра
  • Автор: mary2839
  • Вопрос задан 3 года назад

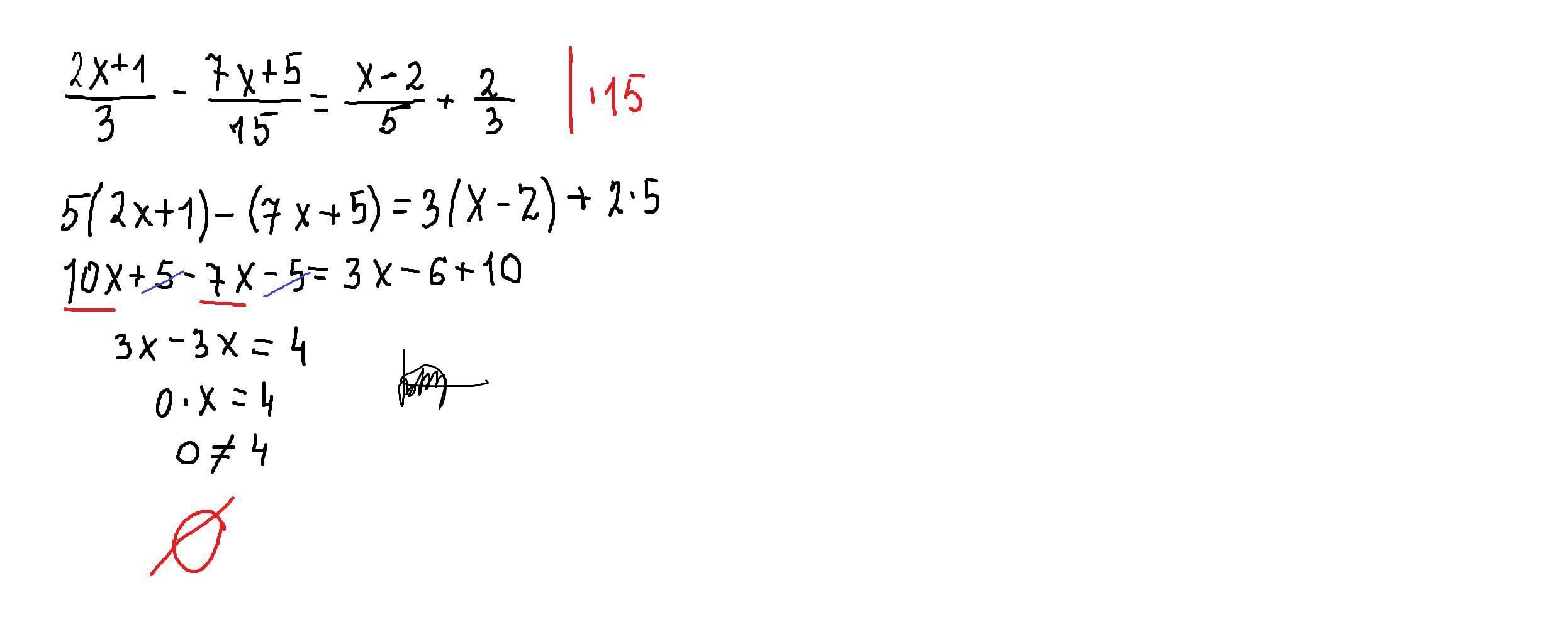
доказать,что уравнение не имеет корней​

Приложения:

Ответы

Ответ дал: parus77
1

Ответ:

корней нет

Объяснение:

решение внизу

Приложения:
Вас заинтересует