Ответы
Ответ дал:
0
мне еще надо что-то написать для 20)
Приложения:


Ответ дал:
0
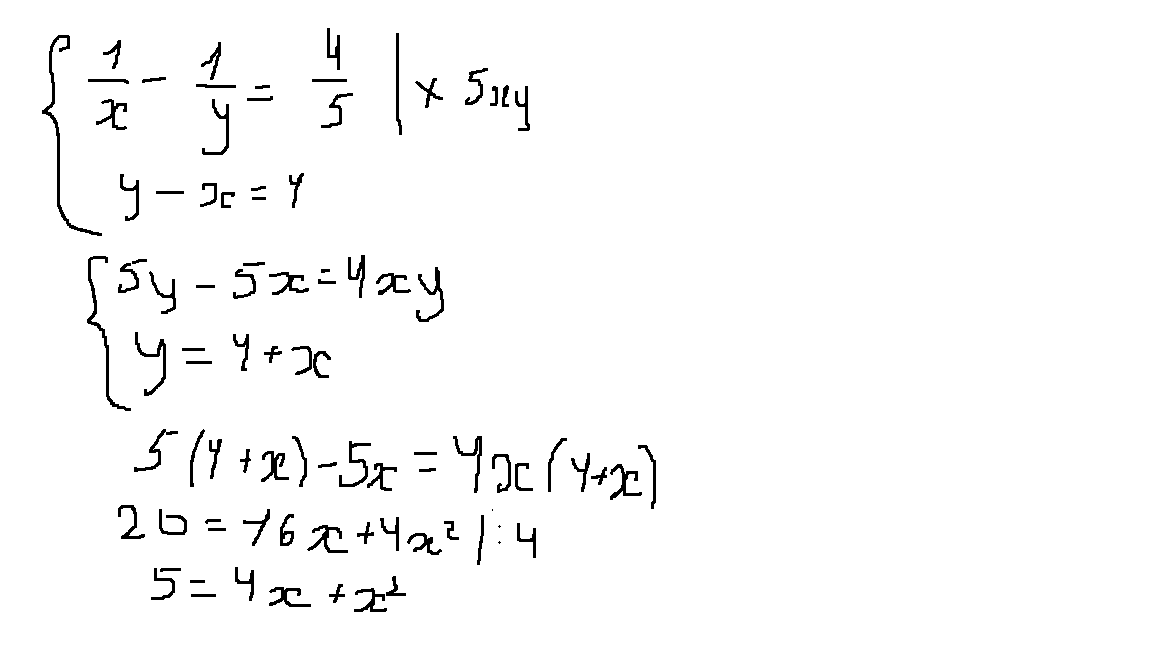
Приведем к общему знаменателю 1 уравнение 5у-5х=4ху, 5(у-х)=4ху.
Заменим выражение у-х на 4, 5*4=4ху⇒ху=5.
Выразим из второго у и подставим в первое, у=х+4
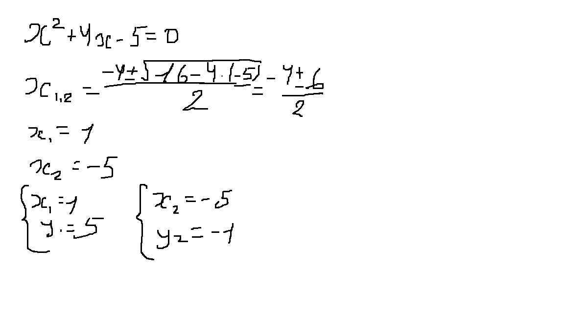
х²+4х-5=0
х1+х2=-4 и х1*х2=-5⇒х1=-5, у1=-5+4=-1 и х2=1,у2=1+4=5
Ответ (-5;-1) и (1;5)
Заменим выражение у-х на 4, 5*4=4ху⇒ху=5.
Выразим из второго у и подставим в первое, у=х+4
х²+4х-5=0
х1+х2=-4 и х1*х2=-5⇒х1=-5, у1=-5+4=-1 и х2=1,у2=1+4=5
Ответ (-5;-1) и (1;5)
Приложения:


Вас заинтересует
2 года назад
8 лет назад
10 лет назад
10 лет назад
10 лет назад