• Предмет: Математика
  • Автор: dzhavid875guliev
  • Вопрос задан 3 года назад

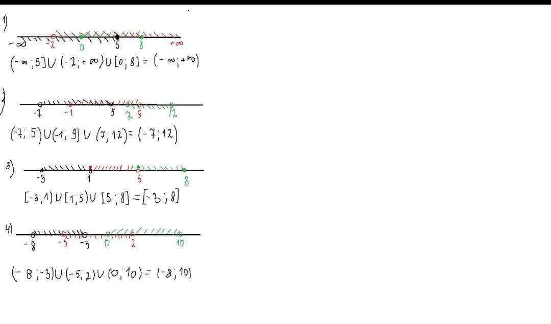
n935.
Используя координатную прямую, найдите объединение число-
вых промежутков:
1) (-z;5], (-2; +z) и [0; 8);
2) (-7; 5), (-1; 9) и (7; 12);
3) (-3; 1), [1; 5) и [5; 8];
4) (-8; -3), (-5; 2) и (0; 10).

z=Беконечность​


dzhavid875guliev: Срочно
Saifix: что ?

Ответы

Ответ дал: Saifix
28

Ответ:

вроде как то так если не чего не понятно сорри

Пошаговое объяснение:

торапился по этому в телефоне нарисовал

Приложения:

Nazmina098: :)
999999999999997: спасибо
Saifix: (☞ ಠ_ಠ)☞
Nazmina098: так правильно??
999999999999997: я думаю да
999999999999997: а как выключить уведомления
Nazmina098: незнааююю
Saifix: чего ?
Nazmina098: ничегоо
bogdan8491: я считаю что не совсем так как у меня получается другой ответ ну наверное что то я не так делаю(
Вас заинтересует