• Предмет: Математика
  • Автор: NikitaGamer365689
  • Вопрос задан 3 года назад

2x+4(x+2)=5-4x
уравнение

Ответы

Ответ дал: Tem1302
2

2x+4(x+2)=5-4x

2x+4x+8-5+4x=0

10x+3=0

10x= -3

x= -3/10


Azik0203: хммм
Ответ дал: Azik0203
2

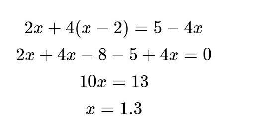
Ответ:

на фото

Пошаговое объяснение:

на фооотоооооо, удачи

Приложения:

Tem1302: там (х+2) ,не правильно писал,поэтому ответ разный
Вас заинтересует