• Предмет: Алгебра
  • Автор: Аноним
  • Вопрос задан 3 года назад

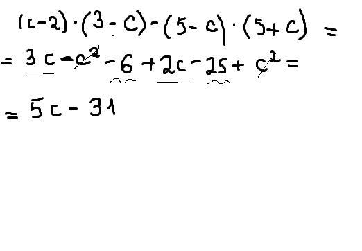
(с-2) (3-с) -(5-с) (5+с)​


nowgorodtsevv: это ещё в 5-6 классе говорят
nowgorodtsevv: 7 напоминают
Аноним: ну я 7
nowgorodtsevv: 8 решают
Аноним: это просто дополнительное задание
nowgorodtsevv: 9 убивают
nowgorodtsevv: короче я всё верно сделал, не парься
Аноним: ок
Аноним: спасибо
nowgorodtsevv: пож

Ответы

Ответ дал: nowgorodtsevv
1

Ответ:

3с -сквадрат -6 +2с -25 -5с + 5с +сквадрат

5с=25

с=5

Объяснение:

.

Ответ дал: hotdog07
1

Ответ:

Надеюсь,что понятно)

Приложения:

Аноним: лучший спасибо
nowgorodtsevv: неверно
nowgorodtsevv: не + , а -
nowgorodtsevv: или пиши подробно
nowgorodtsevv: свойство то не все знают
hotdog07: там плюс ,потому что ,скобки раскрыли
nowgorodtsevv: это я знаю, просто как-то ты резко перескочил, а так молодец
Вас заинтересует