• Предмет: Алгебра
  • Автор: hotdog07
  • Вопрос задан 3 года назад

помогите,пожалуйста,решить
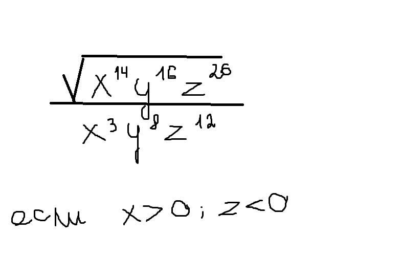
здесь нужно спростить

Приложения:

Ответы

Ответ дал: y0ungsenpa1
0

Ответ:

квадратный корень x7y8z13 дробь x3y8z12

это делить и получаем x4z


y0ungsenpa1: только квадратный корень убираем
Вас заинтересует