• Предмет: Математика
  • Автор: rahmanovan232
  • Вопрос задан 3 года назад

Срооооочно пожалуйста умоляю. Номер783 и 787 то что отмеченоооо!!!!

Приложения:

Ответы

Ответ дал: mdiyora68
0

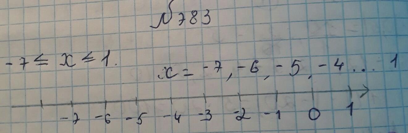
Ответ:

1) –7≤x≤1;

–7–6–5–4–3–2–1–0 1

2) –2<x≤11;

11 ; 10; 9; 8; 7; 6; 5; 4; 3; 2; 1; 0; –2 –1 –0 11

3) –10≤x<0;

–10 –9–8–7–6–5–4–3–2–1– 0

Внизу так пиши

Ответ дал: irinajanabaeva
1

Ответ:

ответ на фото...

ответь как лучший ответ пожалуйста

Приложения:
Вас заинтересует