Ответы
Ответ дал:
1
Ответ:
Смотри решение
Объяснение:
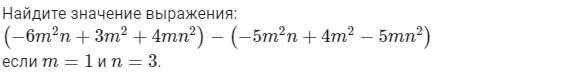
Решение на фотографии
Приложения:

Вас заинтересует
2 года назад
2 года назад
2 года назад
2 года назад
8 лет назад
8 лет назад
9 лет назад