• Предмет: Алгебра
  • Автор: vbvbvbvbvbvcx
  • Вопрос задан 3 года назад

ПОМОГИТЕ ПОЖАЛУЙСТА!!!!
ДАЮ 30 БАЛЛОВ

Приложения:

Ответы

Ответ дал: darinalunich
1

Ответ:

Объяснение:

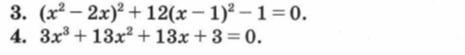
3)(x^{2}-2x) ^{2} +12(x-1)^{2} -1=0

x^{4} -4x^{3} +4x^{2} +12(x-1)^{2}-1=0

x^{4} -4x^{3} +4x^{2} +12(x^{2} -2x-1)-1=0

x^{4} -4x^{3} +4x^{2} +12x^{2} -24x+12-1=0

x^{4} -x^{3} -3x^{3} 4x^{2} 12x^{2} -24x+12-1=0

x^{4} -x^{3} -3x^{3} +16x^{2} -13x-11x+12-1=0x^{4} -x^{3} -3x^{3} +3x^{2} +13x^{2} -13x-11x+11=0

x^{3} *(x-1)-3x^{2} *(x-1)+13x*(x-1)-11(x-1)=0

(x-1)*(x^{3} -3x^{2} +13x-11)=0

(x-1)*(x-1)*(x^{2} -2x+11)=0

(x-1)^{2} *(x^{2} -2x+11)=0

(x-1)^{2} =0

x^{2} -2x+11=0

x=1

4)3x^{3} +13x^{2} +13x+3=0

3(x^{3}+1)* (x^{2} -x+1)+13x*(x+1)=0

3(x+1)*(x^{2} -x+1)+13x*(x+1)=0\\

(x+1)*(3(x^{2} -x+1)+13x)=0

(x+1)*(3x^{2} -3x+3+13x)=0\\

(x+1)*(3x^{2} +10x+3)=0

(x+1)*(3x^{2} +9x+x+3)=0

(x+1)*(3x*(x+3)+x+3)=0

(x+1)*(x+3)*(3x+1)=0

x+1=0

x+3=0

3x+1=0

x=-1

x=-3

x=-\frac{1}{3}


vbvbvbvbvbvcx: поздно уже конечно, но спасибо)
Вас заинтересует