• Предмет: Алгебра
  • Автор: savinamariya15
  • Вопрос задан 3 года назад

пжпжпж!!! 15 баллов, срочно надо!​

Приложения:

Ответы

Ответ дал: neborisova
1

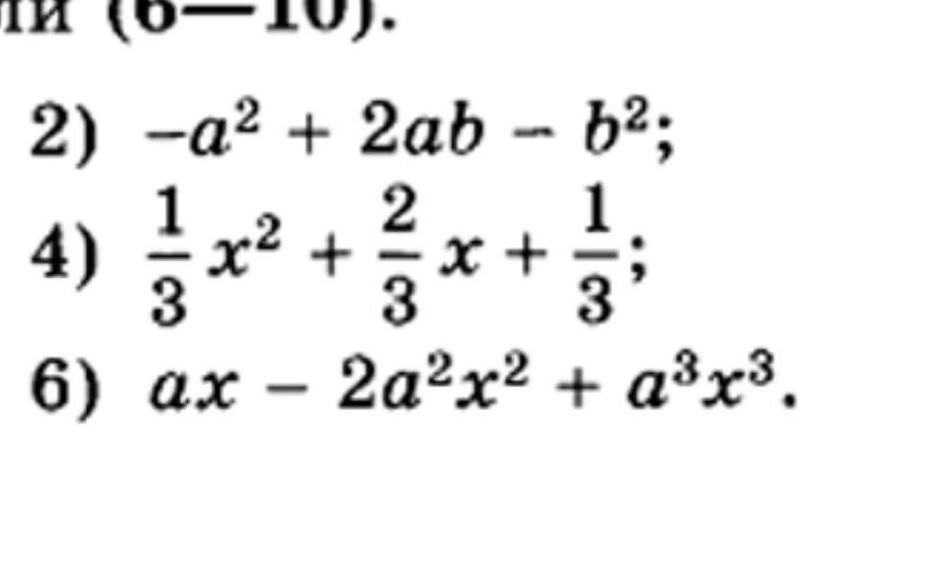
Ответ:

2) умножить на -1 b gjkexftv

a^2-2ab+b^2=(a-1)^2

4) вынести 1/3 за скобки

1/3(x^2+2x+1)=1/3(x+1)^2

6)ax выносим за скобки

ax(1-2ax+a^2x^2)=ax(1-ax)^2

Объяснение:

Вас заинтересует