• Предмет: Математика
  • Автор: dobraiakota1212
  • Вопрос задан 3 года назад

На решение даётся 20-30 минут :)

Приложения:

Ответы

Ответ дал: MrSolution
1

Ответ:

(см. объяснение)

Пошаговое объяснение:

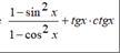
Первое фото:

\dfrac{1-sin^2x}{1-cos^2x}+tgx*ctgx=ctg^2x+1=csc^2x

Второе фото:

\dfrac{sin^3a-cos^3a}{1+sinacosa}+cosa-sina=sina-cosa+cosa-sina=0

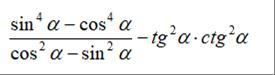
Третье фото:

\dfrac{sin^4a-cos^4a}{cos^2a-sin^2a}-tg^2a*ctg^2a=-1-1=-2

Задание выполнено!

Вас заинтересует