• Предмет: Алгебра
  • Автор: Зяблик94
  • Вопрос задан 10 лет назад

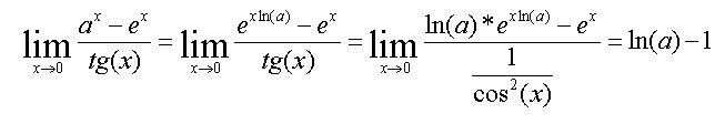
Найти пределы функций, воспользовавшись правилом Лопиталя.

Приложения:

Ответы

Ответ дал: IUV
0
решение во вложении
ответ:  ln(a)-1
Приложения:
Вас заинтересует