• Предмет: Химия
  • Автор: Аноним
  • Вопрос задан 10 лет назад

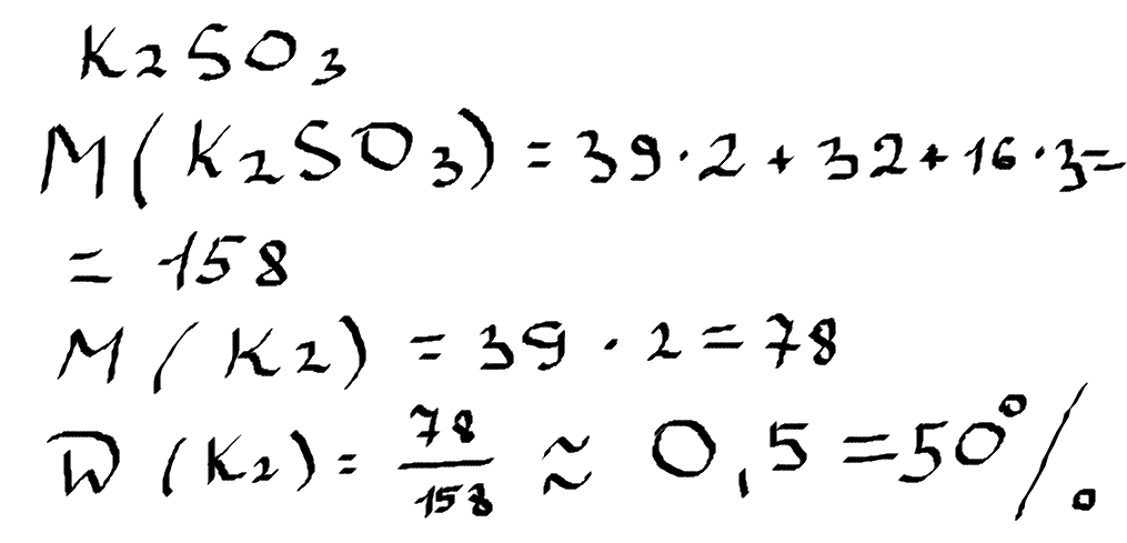
высчитать массовую долю металла в сульфите калия

Ответы

Ответ дал: ChristinaRed
0
78/158=0,5=50% приблизительно 
Массовую долю мы находим по формуле, а числа берем из таблицы Менделеева
Приложения:
Ответ дал: Аноним
0
откуда чмсла взяла, распиши пожалуйста. полностью
Ответ дал: ChristinaRed
0
добавила во вложения
Вас заинтересует