Ответы
Ответ дал:
1
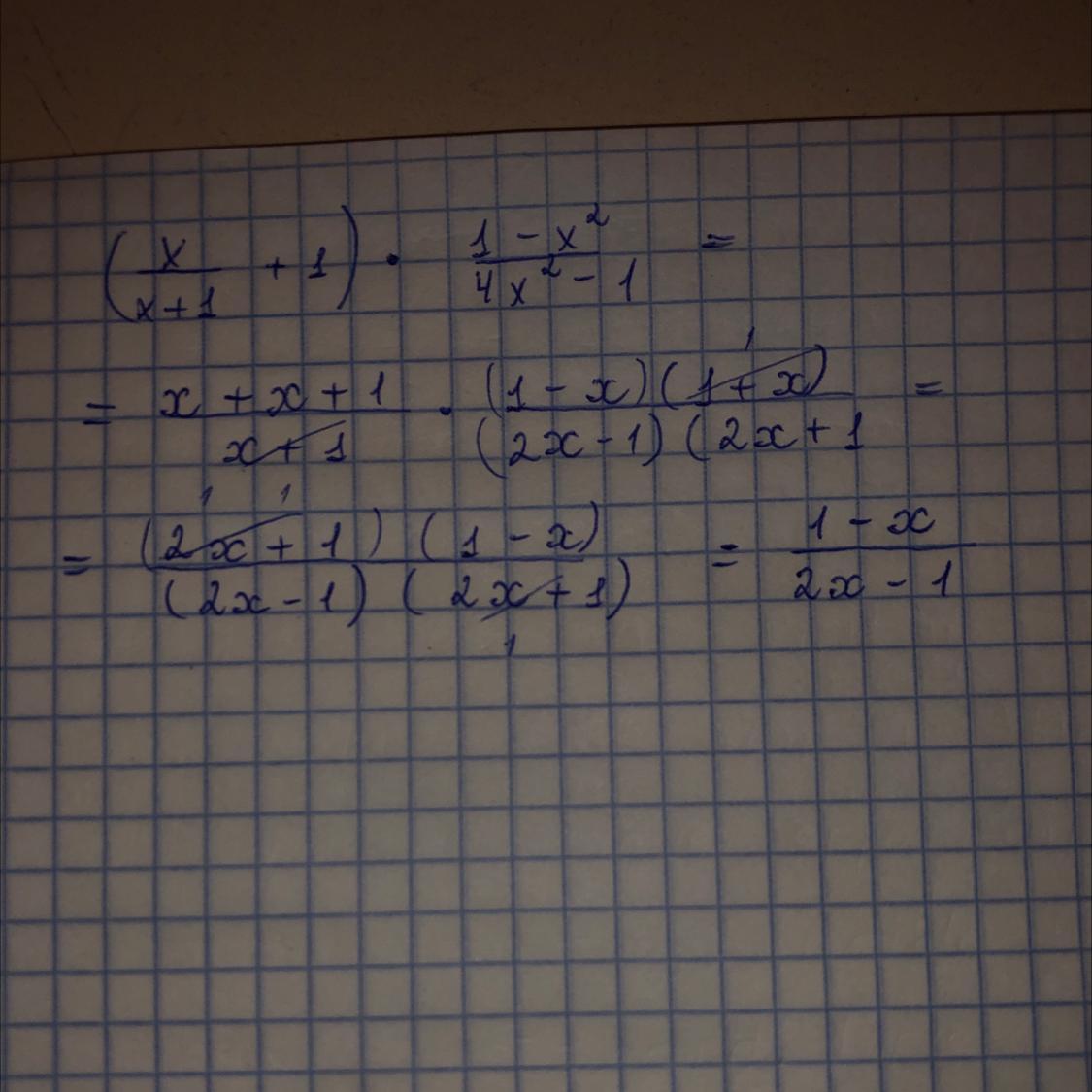
Вот решение. Надеюсь норм видно
Приложения:

Аноним:
спс❤
Вас заинтересует
2 года назад
2 года назад
2 года назад
2 года назад
8 лет назад