• Предмет: Физика
  • Автор: yusufxojayu12
  • Вопрос задан 3 года назад

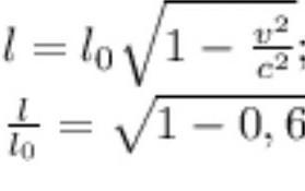
Мимо вас пролетела ракета со скоростью 0,6 с. Вам показалось, что ее длина 60 м. Реальная длина ракеты равна

Ответы

Ответ дал: Аноним
1

Ответ:

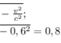
По формуле для лоренцева сокращения длины:

Стержень будет выглядеть сжатым до 0,8 от первоначальной длины.

Объяснение:

где пробел это фунция)

Приложения:
Вас заинтересует