• Предмет: Алгебра
  • Автор: iskosodoroprp
  • Вопрос задан 3 года назад

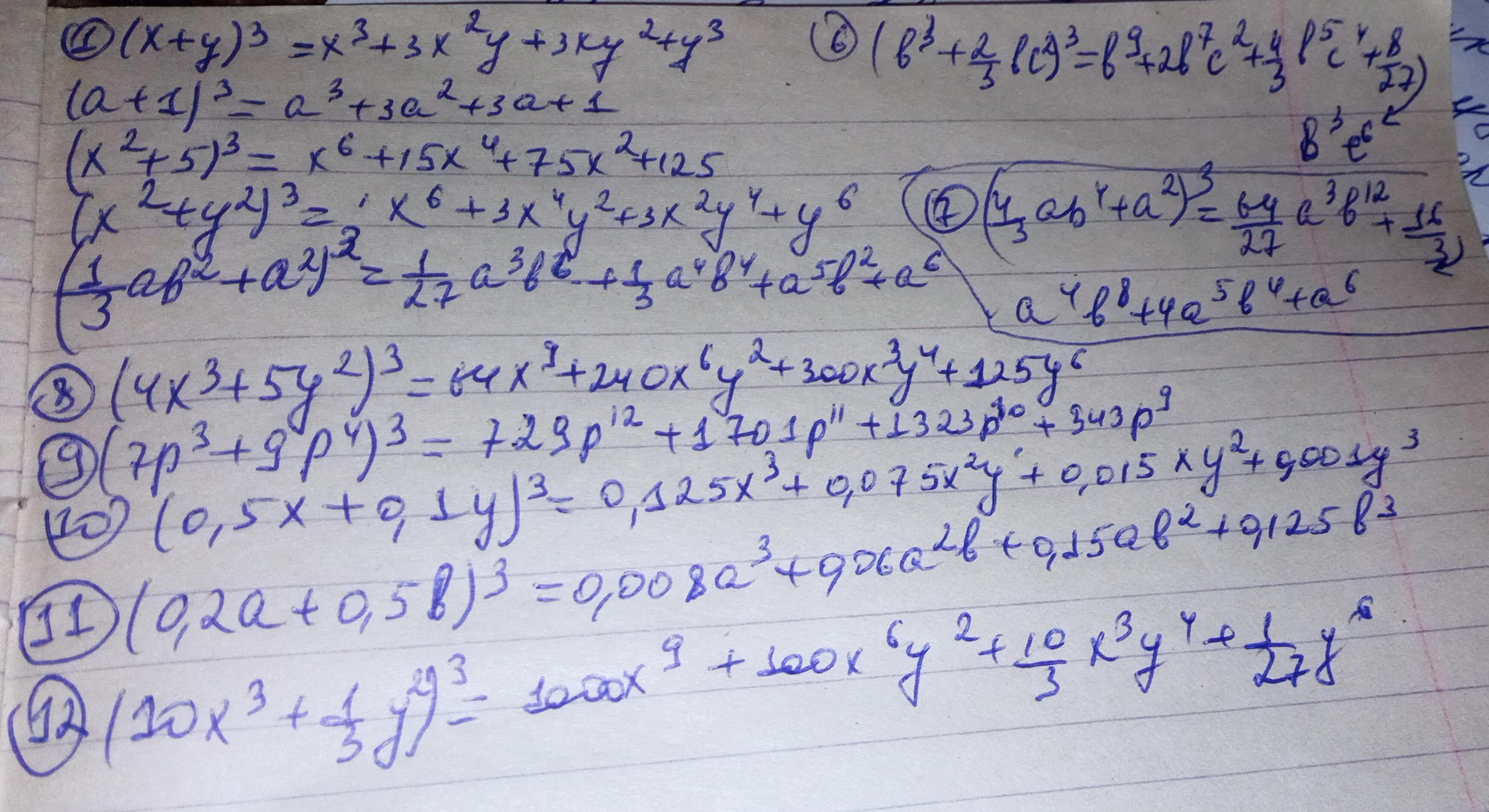
здравствуйте помогите плиз срочнооооо прошу пожалуйста ​

Приложения:

Ответы

Ответ дал: zuriatagabekova
1

Ответ:

Объяснение:

Ответ

Приложения:

iskosodoroprp: спасибо вам большое
Вас заинтересует