• Предмет: Математика
  • Автор: Аноним
  • Вопрос задан 3 года назад

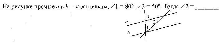
ПОМОГИТЕ ПОЖАЛУЙСТА С ГЕОМЕТРИЕЙ,
ОЧЕНЬ СРОЧНО​

Приложения:

Ответы

Ответ дал: anonim5131
1

Ответ:

угол 2=30°

Пошаговое объяснение:

угол 2 = угол 3-угол 1 = 80°-50°=30°

Вас заинтересует