• Предмет: Алгебра
  • Автор: Selfnclosed
  • Вопрос задан 3 года назад


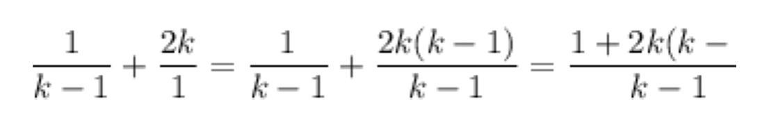
 \frac{1}{ k- 1}  +  \frac{2k}{1}
Представьте выражение в виде дроби

Ответы

Ответ дал: boberon
1

\dfrac{1}{k-1} + \dfrac{2k}{1} = \dfrac{1}{k-1} + \dfrac{2k(k-1)}{k-1} = \dfrac{1 + 2k(k-1)}{k-1} = \dfrac{2k^2 - 2k + 1}{k-1}

Ответ дал: koner23973
0
Ответ в фотографии

Обьясняние:
Приложения:
Вас заинтересует