• Предмет: Алгебра
  • Автор: gilevgeb1
  • Вопрос задан 3 года назад

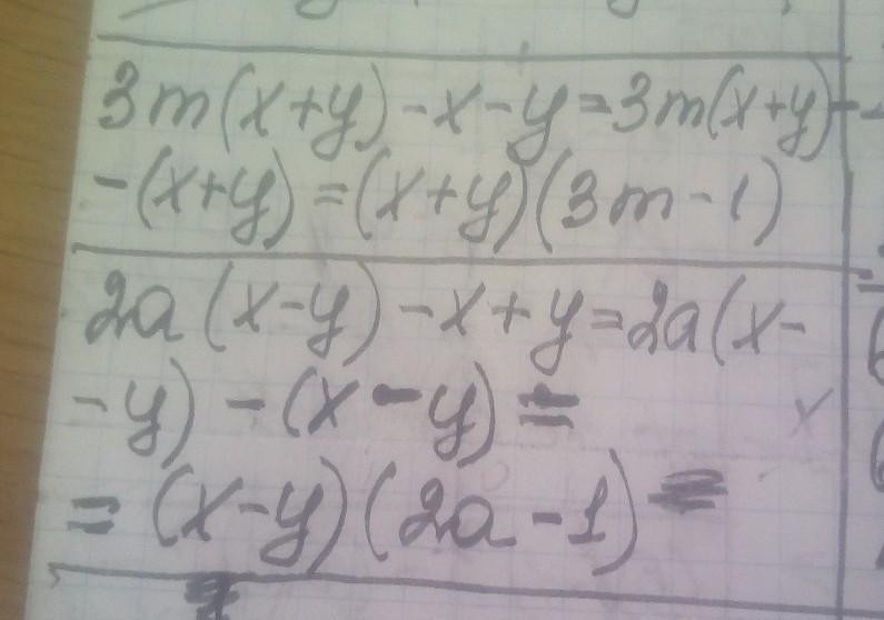
Разложите на множители пожалуйста помогите!!!!

Приложения:

gilevgeb1: помогите пожалуйста
gilevgeb1: помогите!!!!!!!!!!!!!
gilevgeb1: кто нибудб

Ответы

Ответ дал: manyny06
0

Ответ:

решение на фотографии

Приложения:
Вас заинтересует