хотя бы алгебраическим как развязать подскажите))))))))))))))))))))))))))))))))))))))))))))))))))))))))))))))))))))))))))))))))))))))))))))))))
Приложения:

Ответы
Ответ дал:
0
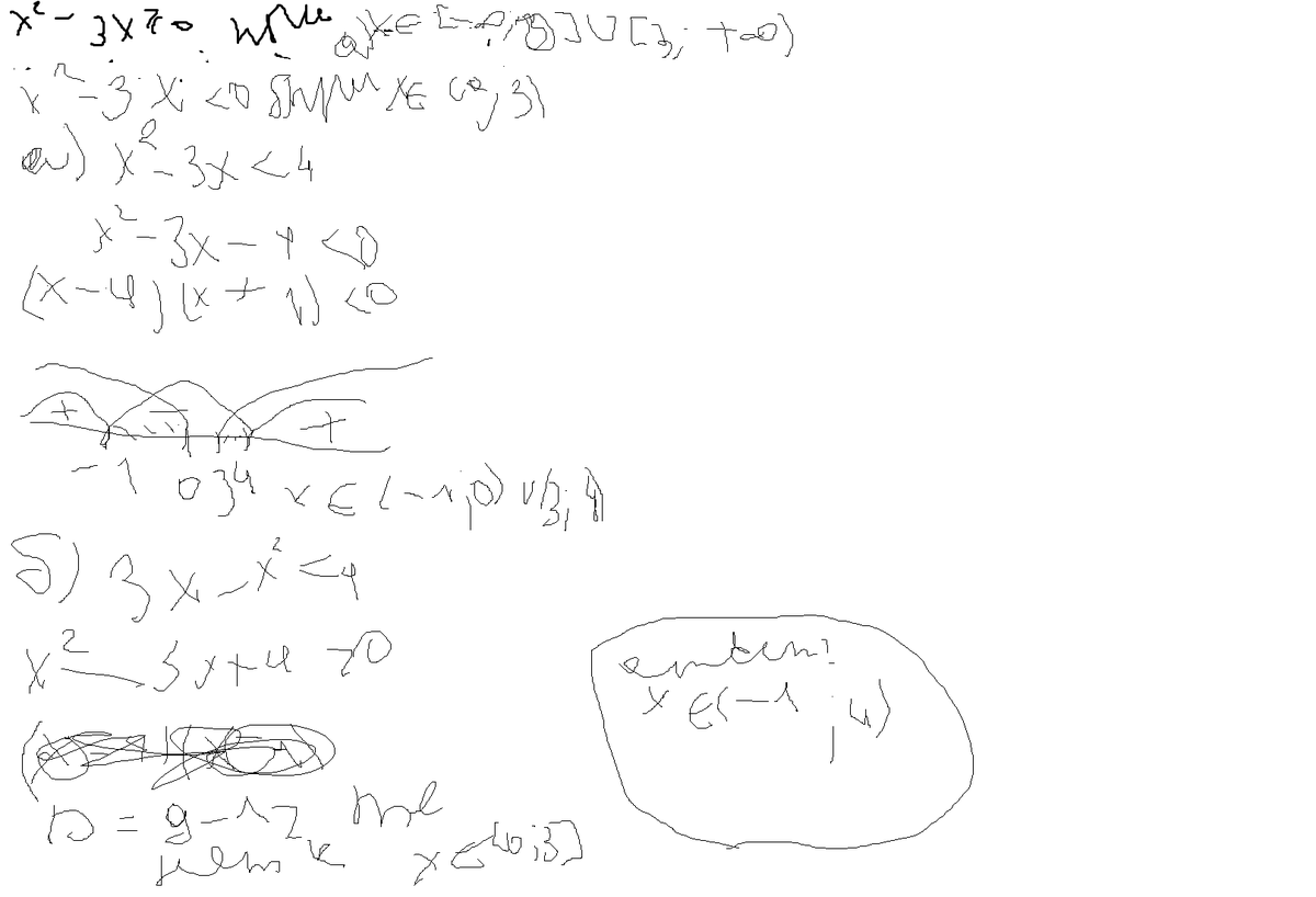
!x^2-3x!<4 (или -4<x^2-3x<4)
x(x-3)>0
==========0=========3=========
++++++++++ -------------- ++++++++
1/ x=0 3
x^2-3x+4>0
при любом x
x=(0 3)
2/ x<0 x>3
x^2-3x-4<0
(x+1)(x-4)<0
==========-1============4===========
---------------- ++++++++++++ --------------
при пересечении x<0 x>3 и x<-1 x>4 получаем x<-1 x>4
ответ (-,tcrjytxyjcnm -1)U (0 3) U (4 + бесконечность)
x(x-3)>0
==========0=========3=========
++++++++++ -------------- ++++++++
1/ x=0 3
x^2-3x+4>0
при любом x
x=(0 3)
2/ x<0 x>3
x^2-3x-4<0
(x+1)(x-4)<0
==========-1============4===========
---------------- ++++++++++++ --------------
при пересечении x<0 x>3 и x<-1 x>4 получаем x<-1 x>4
ответ (-,tcrjytxyjcnm -1)U (0 3) U (4 + бесконечность)
Ответ дал:
0
если что-то непонятно спрашивай...........................
Приложения:

Вас заинтересует
2 года назад
2 года назад
8 лет назад
8 лет назад
10 лет назад
10 лет назад
10 лет назад