• Предмет: Алгебра
  • Автор: mila1996
  • Вопрос задан 11 лет назад

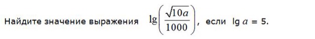
Найдите значение выражения:) задание с логарифмами:)

Приложения:

Ответы

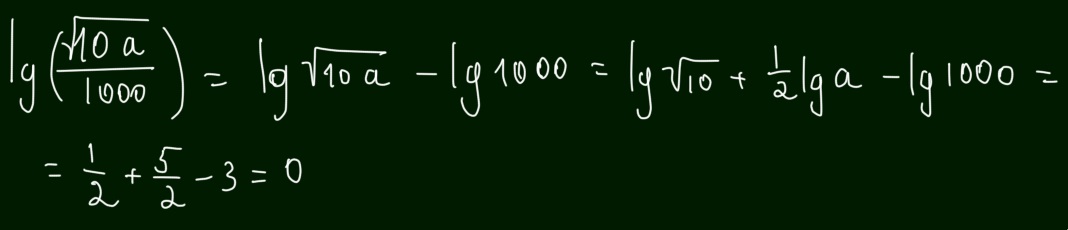
Ответ дал: nikolac
0
Решение на картинке.
Приложения:
Ответ дал: mila1996
0
ой
Ответ дал: nikolac
0
Извините. Исправил.
Ответ дал: mila1996
0
Спасибо:)
Вас заинтересует